Release of Components of Broadly-defined Liquidity
June 6, 2000
Bank of Japan
Research and Statistics Department
Broadly-defined liquidity, one indicator of money stock statistics, has been releasing only the total amount outstanding and growth rate (year-to-year and seasonally adjusted month-to-month growth rates). From the May 2000 figures (to be released on Monday, June 12, 2000), however, the 10 components (amount outstanding and year-to-year growth rate) will also be released in order to enhance the convenience of users (refer to appendix 1 for the new release format). In addition, figures for "pension trusts" and "foreign bonds (US dollar denominated)" will be released for reference.
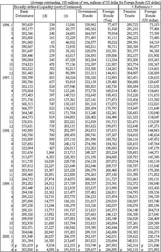
The components of broadly-defined liquidity are: M2 + CDs, postal savings, deposits of the Shinkumi Federation Bank etc., money in trust, money deposited other than money in trust, investment trusts, bank debentures, commercial papers issued by financial institutions, repurchase agreement and securities lending with cash collateral transactions, government bonds, and foreign bonds. The adopted 10 components have not been changed for this revision.
In order to reflect the recent changes of the financial environment and system into the statistics with precision, the estimation method of components such as government bonds, repurchase agreement and securities lending with cash collateral transactions and foreign bonds have been revised. As a result, please be advised that the data for the amount outstanding of broadly-defined liquidity have been retroactively revised from January 1996 and the year-to-year growth rate from January 1997. The retroactive data for each component of broadly-defined liquidity is also compiled and released for the same time period (refer to appendix 2 for retroactive figures).
Seasonally adjusted figures for broadly-defined liquidity are also revised in accordance with the revision (refer to appendix 3 for details).
Among broadly-defined liquidity, components other than M2 + CDs are compiled using various primary sources (such as financial related statistics). However, some of these components are estimated due to constraints of primary sources (e.g., unavailability of primary sources).
The department is currently preparing to release material regarding the compilation method of the money stock statistics (including the estimation method) in line with the release of the next money stock statistics (preliminary; to be released on June 12, 2000). We hope this will be helpful for users to understand and analyze the statistics.
(Appendix1)
| SAMPLE |
Research and Statistics Department
Bank of Japan
Money Stock ( Preliminary figures for May 2000 )


Notes:
- p: Preliminary figures. B: No continuity between figures marked "B" and those thereafter. The details are shown in Financial and Economic Statistics Monthly.
- Figures (a) are seasonally adjusted percent changes at an annualized rate from the previous period.
- Figures (b) are seasonally adjusted percent changes at an annualized rate from 3 months earlier.
Broadly-defined Liquidity


Notes:
- Figures (c) are deposits (including Certificates of deposits) of The Shinkumi Federation Bank, Credit Cooperatives, National Federation of Labor Credit Association, Labor Credit Association, Credit Federation of Agricultural Cooperatives, Agricultural Cooperatives, Credit Federation of Fishery Cooperatives and Fishery Cooperatives.
- Figures (d) are money in trust of Domestically Licensed Banks.
- Figures (e) are money deposited other than money in trust of Domestically Licensed Banks.
- Figures (f) are commercial papers issued by financial institutions.
- Figures (g) are repurchase agreement and securities lending with cash collateral transactions.
- Government Bonds include Treasury Bills and Financing Bills.
- Foreign Bonds include bonds issued by non-residents only. Central average of interbank US dollar / yen Spot Rate is used to convert Foreign Bonds from yen into US dollar.
(Appendix2)
Broadly-defined Liquidity ( time - series data )


Notes:
- Figures (a) are deposits (including Certificates of deposits) of The Shinkumi Federation Bank, Credit Cooperatives, National Federation of Labor Credit Association, Labor Credit Association, Credit Federation of Agricultural Cooperatives, Agricultural Cooperatives, Credit Federation of Fishery Cooperatives and Fishery Cooperatives.
- Figures (b) are money in trust of Domestically Licensed Banks.
- Figures (c) are money deposited other than money in trust of Domestically Licensed Banks.
- Figures (d) are commercial papers issued by financial institutions.
- Figures (e) are repurchase agreement and securities lending with cash collateral transactions.
- p: Preliminary figures. B: No continuity between figures marked "B" and those thereafter.


(Appendix3)
Seasonal Adjustment for Broadly-defined Liquidity
Please be advised that the seasonal adjustment method of broadly-defined liquidity has been changed in line with the revision of the estimation method. The summary of the seasonal adjustment method of broadly-defined liquidity on the new basis is as follows:
(1) Uses the Bureau of Census X-12-ARIMA method, Beta version.
(2) A logarithmic transformation is adopted for each series. The critical value for Additive Outliers, Level Shifts, and Ramps is over 3.3
. Data used for seasonal adjustment are based on the period from the start of data compilation to December 1999. For the following 12 months until December 2000, seasonally adjusted data are calculated by applying the predicted seasonal factor.
| Indicator | Seasonal ARIMA model |
Trading-day adjustment |
Commencement of series |
| Broadly-defined liquidity |
(111) (110)12 | N/A | Jan. 1980 |
Notes:
- The seasonal ARIMA model has been changed in line with this revision [(111)(011)12-->(111)(110)12].
- In addition to the original data series (released until March 1999, not compiled thereafter), another data series has been compiled for broadly-defined liquidity due to the revision of the statistics in April 1998 by expanding the range of surveyed financial institutions (including foreign banks in Japan, etc.; released from April 1998). Therefore, seasonally adjusted figures are calculated for each of the 2 series but the same seasonal ARIMA model is used for both series. Data used for calculation are as follows:
[data for expanded series] Calculated using data from January 1980 to December 1999. From April 1998, however, the retroactive figures released this time are used (based on data including foreign banks in Japan, etc.). The data series were not level-shifted.
[data for original series] Calculated using data from January 1980 to March 1999. From January 1996 to March 1999, however, the retroactive figures released this time are used (based on data excluding foreign banks in Japan, etc.). The data series were level-shifted in January 1996.
