「短観(全国企業短期経済観測調査)」のFAQ
2015年3月
日本銀行調査統計局
目次
質問一覧
1. 「短観」全般に関するQ&A
- 1-1. 「短観」の調査目的や調査項目は何ですか。
- 1-2. 法的根拠はあるのですか(回答義務はあるのですか)。
- 1-3. 「短観」の調査結果からどのようなことが分かりますか。
- 1-4. 「短観」の調査対象を教えてください。
- 1-5. 金融機関はどのような扱いになっていますか。
- 1-6. 「短観」の歴史を教えてください。
- 1-7. 2014年3月調査から実施した調査項目の見直しについて、ポイントを教えてください。
- 1-8. 日本銀行の支店でも短観(「支店短観」)を公表していますが、本店(調査統計局)が公表する「短観」との相違点は何ですか。
2. 判断項目に関するQ&A
- 2-1. DIはどのようにして算出するのですか。
- 2-2. 判断項目の回答をDIという指標に加工・集計するのは何故ですか。
- 2-3. DIにはどのような利用方法がありますか。
- 2-4. 個別のDIをみる際にはどのような留意点がありますか。
- 2-5. 2014年3月調査より本系列として公表されている「CPの発行環境判断(発行企業ベース)」は、2010年3月調査より参考系列として公表していたものと連続性はありますか。
3. 計数項目に関するQ&A
- 3-1. 母集団推計値とは何ですか。どのようにして算出するのですか。
- 3-2. 調査対象企業から回答が得られなかった場合には、どのように集計していますか(欠測値補完の方法について教えてください)。
- 3-3. 調査対象企業から得られた回答が著しく大きな変動をした場合には、どのように集計していますか(外れ値対応の方法について教えてください)。
- 3-4. 「短観」の前年比、修正率をみる際にはどのような留意点がありますか。
- 3-5. 「事業計画の前提となっている想定為替レート」(対米ドル円レート)はどのようにして算出するのですか。
- 3-6. 「設備投資額」のデータを利用する上で、注意すべき点はありますか。
- 3-7. 「ソフトウェア投資額」のデータを利用する上で、注意すべき点はありますか。
4. 物価見通しに関するQ&A
5. 統計の正確性に関するQ&A
- 5-1. 統計調査には誤差がつきものと思われますが、「短観」の誤差にはどのような類のものがありますか。
- 5-2. 標本誤差を低減させるためにどのような措置をとっていますか。
- 5-3. 非標本誤差を低減させるためにどのような措置をとっていますか。
- 5-4. 企業の合併・分社があった場合、「短観」ではどのような対応をとっているのですか。
6. 統計の公表に関するQ&A
- 6-1. 公表までの主な事務の流れを教えてください。
- 6-2. 「短観」の集計結果については、どのような資料がどのような媒体で入手できますか。
- 6-3. 過去の公表データを遡って知りたいのですが、長期時系列データはありますか。
- 6-4. 集計値以外の関連情報では、どのようなものが公表されているのですか。
- 6-5. 「短観」の公表日時は事前に決まっているのですか。
- 6-6. 「短観」の公表時刻は何故午前8時50分なのですか。
- 6-7. 「短観」の公表資料には集計結果が掲載されるのみで、計数の解説等がないのは何故ですか。
- 6-8. 早期公表を実現させるためにどのような措置をとっていますか。
- 6-9. 公表値に誤りが発見された場合には、どのような措置をとっていますか。
- 6-10. 「短観」に関する照会はどこにすればよいですか。
7. その他のQ&A
- 7-1. 日本銀行の金融政策決定の過程で、「短観」はどのように使われているのですか。
- 7-2. 「短観」は世間の注目度が高い統計ですが、どのような機密管理体制を敷いているのですか。
- 7-3. 「短観」の調査対象企業になりたいのですが(日銀に申し込めばなれるのですか)。
- 7-4. 調査対象企業が「短観」の調査表を日銀に回答するに当たり、日本銀行の側で回収基準日(締切日)を設定しているのですか。
回答一覧
1. 「短観」全般に関するQ&A
1-1. 「短観」の調査目的や調査項目は何ですか。
「短観」は、全国の企業動向を的確に把握し、金融政策の適切な運営に資することを目的としており、業況等の現状・先行きに関する判断(判断項目)や、事業計画に関する実績・予測(計数項目)など、企業活動全般に関する調査項目について、全国の調査対象企業に四半期ごとに実施する統計調査(ビジネス・サーベイ)です。海外でも"TANKAN"の名称で広く知られています。
1-2. 法的根拠はあるのですか(回答義務はあるのですか)。
「短観」は、統計法(平成19年法律第53号)に基づいて、日本銀行が行う統計調査です。調査対象企業に回答義務はありませんが、「短観」の場合、調査対象企業のご理解とご協力により、毎回殆どの企業にご回答頂いています。
なお、同法の規定により、調査対象企業からご回答を受けた内容については、その秘密を保護します。
1-3. 「短観」の調査結果からどのようなことが分かりますか。
「短観」の特徴は、企業活動全般を的確に把握する観点から、企業の経済動向に対する見方を問う「判断項目」に加えて、売上高や設備投資額、新卒採用者数等の定量的な「計数項目」(年度計数)をあわせて調査していることです。また、これらのデータについて、「最近の判断」・「実績値」に加え、「先行きの判断」・「予測値」を調査している点も大きな特徴です。さらに、調査の歴史が長く、同一の調査項目について長期にわたるデータが蓄積されている点も利用上のメリットと言えます。
このため、その時々の景気実態や企業活動について、「判断項目」と「計数項目」を組み合わせたり、過去の類似局面と比較するなどして、ユーザー一人一人が様々な目的に応じた分析を行うことが可能です。
2014年3月調査からは、「物価見通し」についても調査を開始しました。新調査により将来の物価変動についての予想に関する情報を得ることができます。こうした情報が蓄積されていけば、さまざまな経済情勢判断に資するほか、企業における経営方針策定などにも活用できるものと考えています。
なお、「短観」の集計結果は、あくまで調査対象企業からの回答を集計したものであり、日本銀行の景気判断や予測を示すものではありません。
1-4. 「短観」の調査対象を教えてください。
「短観」は、総務省・経済産業省の「平成24年経済センサス-活動調査」をもとに、資本金2千万円以上の民間企業(金融機関を除く)を「母集団企業」(現行約21万社)とし、その中から、業種別・規模別に設けた区分毎に統計精度等に関する一定の基準をもとに抽出した企業(現行約1万社)を調査対象企業とする標本調査です。
公表は31の業種(製造業17業種、非製造業14業種)および3つの規模(大企業、中堅企業、中小企業(注))の計93層で行っていますが、統計の精度向上を目的として、調査対象企業の選定(標本設計)や母集団推計値の算出に際しては、より細かな区分(計391層)を設けています。なお、調査対象企業は直近では2015年3月に見直しを行いました。詳細は、「短観調査対象企業の定例見直し」(2015年3月)をご覧ください。
この他、金融機関については、「短観」を補完する標本調査と位置付け、調査を行っています(1-5.参照)。
調査対象企業の選定(標本設計)についての詳細は、「『短観』の標本設計および標本の維持管理等について」(2004年6月)をご覧ください。
| (注) | 「短観」では、資本金を基準にして、下図のように、大企業、中堅企業、中小企業の3つの集計規模区分を設けています。 | ||||||||
|---|---|---|---|---|---|---|---|---|---|
|
1-5. 金融機関はどのような扱いになっていますか。
金融機関については、2004年3月調査以降、「短観」を補完する標本調査と位置付け、調査を行っています(注)。
調査対象企業の選定に際しては、金融機関を(1)「都市銀行・信託銀行等」、(2)「地方銀行、第二地方銀行協会加盟銀行」、(3)「信用金庫」、(4)「系統金融機関等」、(5)「金融商品取引業」、(6)「保険業」、(7)「貸金業等」の7つの業態に区分し、これらの業態に属する金融機関を「母集団企業」(現行約700社)とみなしています。調査対象企業(現行約200社)は、この母集団企業の中から、目標精度等に関する一定の基準をもとに抽出しています。
調査対象企業は、上記7つの業態に分類していますが、集計値については、業態を跨ぐような再編があっても、安定的な公表区分を確保できるよう、「銀行業(上記の(1)+(2))」、「信用金庫・系統金融機関等(同(3)+(4))」、「金融商品取引業」、「保険業」および「貸金業等」の5区分で公表しています。その際、大企業、中堅企業、中小企業といった集計規模区分は設けていません。なお、金融機関についても、調査対象企業の選定(標本設計)や母集団推計値の算出に際しては、統計の精度向上を目的として、より細かな区分(計18層)を設けています。なお、調査対象企業は直近では2015年3月に見直しを行いました。詳細は、「短観調査対象企業の定例見直し」(2015年3月)をご覧ください。
調査対象企業の選定(標本設計)についての詳細は、「『短観』の標本設計および標本の維持管理等について」(2004年6月)をご覧ください。
| (注) | 1989年11月調査(現在の12月調査)から2003年12月調査までは、「主要短観」の補完調査との位置付けで、金融機関に対する設備投資調査を行っていました。2004年3月調査では、この位置付けを変更するとともに、調査対象とする業態・項目を拡充しました。 |
|---|
1-6. 「短観」の歴史を教えてください。
現在、国内外で様々な企業活動の実態に関する調査(ビジネス・サーベイ)が実施されていますが、このうち「短観」は、最も歴史の古い調査の一つです。国内最初のビジネス・サーベイは、日本興業銀行(当時)が、1951年に西独(当時)のIFO経済研究所の「景気テスト」を手本に開始した「産業界の短期観測」ですが、日本銀行では、これを継承・改定した上で、1957年に「主要短観」を開始しました。その後、1974年には、「全国短観」を開始し、2004年には、「全国短観」の大幅な見直しとともに「主要短観」を廃止して現在に至っています。この間、その時々の経済実態等を反映させる形で、調査対象企業の見直しや調査項目の見直し等を行ってきており、最近では2014年に調査項目の見直し、2015年に調査対象企業の見直しを行いました。
| 1957年 8月 | 「主要企業短期経済観測調査」(主要短観)を開始(524社<製造業346社、非製造業178社>を対象とする(注)四半期調査)。 |
|---|---|
| 1960年 5月 | 「中小企業の業況予測調査」を開始(2,666社<製造業・中小企業のみ>を対象とする半期調査)。 |
| 1962年 5月 | 「中小企業の業況予測調査」を半期調査から四半期調査に変更。 |
| 1966年11月 | 「中小企業の業況予測調査」を「中小企業短期経済観測調査」(中小短観)に改称。 |
| 1974年 5月 | 「中小企業短期経済観測調査」の調査対象企業(製造業・中小企業のみ)に、製造業(大企業、中堅企業)と非製造業(大企業、中堅企業、中小企業)を追加し、「全国企業短期経済観測調査」(全国短観)として調査を開始(対象は5,596社<製造業4,243社、非製造業1,353社>)。 |
| 1983年 5月 | 非製造業を中心に「全国短観」の調査対象企業を大幅に追加(5,181社→7,035社<うち非製造業:1,287社→3,141社>)。 |
| 1989年11月 | 「主要短観」の補完調査として「金融機関の設備投資調査」を開始(対象は207社)。 |
| 1993年11月 | 非製造業を中心に「全国短観」の調査対象企業を大幅に追加(7,376社→10,011社<うち非製造業:3,386社→5,822社>)。 |
| 1997年 3月 | 「全国短観」と「主要短観」の調査項目を統一(これに伴い「主要短観」の調査項目は半減)。 |
| 1999年 3月 | 「全国短観」の調査対象企業を追加する(9,129社→9,433社)とともに、公表データを拡充したほか、「全国短観」を調査の中心として位置付け(「主要短観」を参考計数の扱いに変更)。 |
| 2004年 3月 | 「全国短観」の集計規模区分の基準を常用雇用者数基準から資本金基準へと見直し、調査対象企業を追加(8,204社→10,562社)したほか、「主要短観」を廃止、金融機関調査を「全国短観」を補完する標本調査へ位置付け。 |
| 2007年 3月 | 調査対象企業の定例見直し(9,789社→11,026社) |
| 2010年 3月 | 調査対象企業の定例見直し(10,116社→11,684社) |
| 2014年 3月 | 調査項目の見直し(調査項目の一部廃止、「物価見通し」を新設など) |
| 2015年 3月 | 調査対象企業の定例見直し(10,312社→11,126社) |
| (注) | 当時は、原則として、「資本金1億円以上の上場企業(金融・保険業を除く)のうち、各業種の動向を概ね反映する主要企業」を対象としていました。 |
|---|
1-7. 2014年3月調査から実施した調査項目の見直しについて、ポイントを教えてください。
調査対象企業の回答負担の軽減を図りつつ、統計ユーザーにとっての有用性を維持・向上させるという観点から、2014年3月調査より以下の見直しを行っています。
(1)調査項目の一部廃止
統計ユーザーの関心の高さ、重複統計の有無、調査対象企業の回答負担の重さといった点を比較考量し、一部の調査項目を廃止しました。
(廃止項目)
| (1) | 「年度計画」のうち、「材料費」、「人件費」、「減価償却費」、「金融収益」、「金融費用」 |
|---|---|
| (2) | 「四半期項目」の全項目 |
(2)調査項目「物価見通し」の新設
経済物価情勢を的確に把握するうえで有用性が高い項目として、「物価見通し」を新設しました。新調査により将来の物価変動についての予想に関する情報を得ることができます。こうした情報が蓄積されていけば、さまざまな経済情勢判断に資するほか、企業における経営方針策定などにも活用できるものと考えています。
(3)判断項目「CPの発行環境」の調査対象範囲の見直し
2013年12月調査まで参考系列として公表していた「発行企業ベース」を本系列とし、「全企業ベース」を廃止しました。また、「発行企業ベース」の調査対象範囲を、従来の「過去2年間にCP残高が存在する企業」に加えて、「過去2年間に発行実績はないものの現在発行を検討している企業」を含む形に拡大しました。
これらの見直しの詳細については、「『全国企業短期経済観測調査』の調査項目見直しに関する最終案」(2013年3月)、および「『全国企業短期経済観測調査』における調査項目の見直し方針 ―ご意見のお願い―」(2012年11月)をご覧ください。
1-8. 日本銀行の支店でも短観(「支店短観」)を公表していますが、本店(調査統計局)が公表する「短観」との相違点は何ですか。
日本銀行では、本店(調査統計局)が全国分を「短観」として公表していますが、各支店においても、それぞれの管下の調査対象企業の集計値(以下、「支店短観」)を公表しています(公表資料は、各支店のホームページ等でご覧頂けます)。
本店が公表している全国分の「短観」と各支店が公表している「支店短観」の違いは、主に以下の2点です。
(1)調査対象
「短観」の標本設計(調査対象企業の選定)は、全国ベースの業種・規模のみを基準としているため、地域(支店)毎にみると、必ずしも各地域の産業構造を正確に反映していません。「支店短観」の一部ではこれを補完するため、全国分の「短観」が調査・集計対象としていない先(「大手企業の出先事業所」など)も調査・集計対象としています。
(2)集計方法
「短観」の計数項目は母集団推計値である一方、「支店短観」の計数項目は単純集計値です。
「支店短観」をご利用頂く際には、上記のような本店が公表している全国分の「短観」との違いをご理解頂いた上で、当該地域の経済動向を把握するための一つの参考材料としてご覧頂ければと思います。また、上記の理由から、各支店が公表するDIや計数の水準同士を厳密に比較することが適当でない点にもご留意願います(「短観」と「支店短観」とを比較する場合も同様です)。
2. 判断項目に関するQ&A
2-1. DIはどのようにして算出するのですか。
判断項目については、調査対象企業からの回答(「1、2、3」)を、以下のように算出される「DI」(ディフュージョン・インデックス<Diffusion Index>)という指標に加工・集計して、公表しています。
DI(%ポイント)=「第1選択肢の回答社数構成比(%)」−「第3選択肢の回答社数構成比(%)」
例えば、「業況判断DI」は、「収益を中心とした全般的な業況」に関する判断を示すもので、「1. 良い」、「2. さほど良くない」、「3. 悪い」という3つの選択肢の中から1つを回答してもらい、それぞれの回答社数の構成比を求めた上で、「1. 良い」の社数構成比から「3. 悪い」の社数構成比を引いて算出しています。
具体例として、3つの選択肢の回答社数構成比は、「1. 良い」が30%、「2. さほど良くない」が60%、「3. 悪い」が10%の場合、業況判断DIは、「30%−10%=20%ポイント」となります。
因みに、DIの変化幅をみると、一見すると整合的でない計数となるケースも散見されます。例えば、下図のケースでは、全産業の「最近」から「先行き」にかけての変化幅はそれぞれ「0」ですが、製造業では「+2」、非製造業では「+1」変化しています。
これは、DIを算出する際、「1. 良い」および「3. 悪い」と回答した社数構成比を整数化(小数点第1位を四捨五入)しており、「製造業」、「非製造業」、「全産業」のそれぞれにおいて整数化を行う結果、「四捨五入のずれ」が生じているためです。
(具体例)業況判断DI(%ポイント)
| 最近 | 先行き | 変化幅 (先行き−最近) |
|
|---|---|---|---|
| 製造業 | 20 (30%−10%) |
22 (28%−6%) |
+2 |
| 非製造業 | 18 (25%−7%) |
19 (24%−5%) |
+1 |
| 全産業 | 20 (28%−8%) |
20 (26%−6%) |
0 |
なお、DIの算出においては、企業規模の大小に基づくウェイト付けを行っておらず、いわば「1社1票」の単純平均の形をとっています。この点は、規模の大きい企業の動向が集計値により大きい影響を与える「計数項目」と異なりますので、両者を比較する際には注意が必要です。
2-2. 判断項目の回答をDIという指標に加工・集計するのは何故ですか。
集計データの利用に当たっては、それぞれの選択肢(「1、2、3」)の回答社数構成比をそのまま利用することもできますが、例えば、長期の動きを時系列でみる場合などには、やや煩雑な面があります。そこで、これらの複数のデータの動きを一目で把握できるように、DIという一つの指標に集約したものを公表しています。
2-3. DIにはどのような利用方法がありますか。
判断項目については、「最近(調査回答時点)の状況」および「先行き(3か月後まで)の状況」を調査しており、DIも「最近DI」および「先行きDI」の形で算出しています (注)。そこで、例えば、前回調査における「先行きDI」と今回調査における「最近DI」を比較することによって、企業の先行きに対する見通しが、結果としてどの程度正しかったかをみることができます。
また、DIと関連する計数項目(「業況判断DI」と「経常利益」・「売上高経常利益率」、「生産・営業用設備判断DI」と「設備投資額」など)を組み合わせて分析したり、足元と過去の類似する景気局面のDIを比較するなど、ユーザーの様々な目的に応じた分析を行うことが可能です。
| (注) | 2004年3月調査より、「製商品在庫水準判断DI」、「製商品流通在庫水準判断DI」、「資金繰り判断DI」および「金融機関の貸出態度判断DI」については、「先行き」の調査を廃止しました。また、2004年3月調査より調査を開始した「CPの発行環境判断DI」についても、「先行き」の調査は行っていません。これは、調査対象企業がこれらの項目について「先行き」の判断を慎重に行う傾向があり、結果として「先行き」の集計値にバイアスが生じやすいためです。 |
|---|
2-4. 個別のDIをみる際にはどのような留意点がありますか。
例えば、需給・在庫に関するDIには、(1)国内での製商品・サービス需給判断(「需要超過」−「供給超過」)、(2)海外での製商品需給判断(「需要超過」−「供給超過」)、(3)製商品在庫水準判断(「過大ないしやや多め」−「やや少なめないし不足」)、(4)製商品の流通在庫水準判断(「過大ないしやや多め」−「やや少なめないし不足」)の4つがあります。
このうち、(3)については、当該「企業自身」の製商品在庫の過不足についての判断を回答して頂く一方、(1)、(2)、(4)については、当該企業の主要製商品・サービスの属する「業界」の需給および流通在庫の過不足についての判断を回答して頂くことになっています。
従って、これらのDIを利用する際には、「企業自身」ないし「業界」という定義の違いにご留意願います。
また、(1)借入金利水準判断(「上昇」−「低下」)、(2)販売価格判断(「上昇」−「下落」)、(3)仕入価格判断(「上昇」−「下落」)の3つについては、「水準(レベル感)」ではなく「方向性」を企業に回答して頂いています。
「短観」のDIは基本的に「水準」を示していますが、これらのDIは、「水準」ではなく「方向性」を示している点にご留意願います。
それから、2014年3月調査より「CPの発行環境判断DI」の調査対象範囲が変更となっています。実際のCP発行の有無にかかわらず全ての企業を対象にした「全企業ベース」の集計・公表を取り止め、「過去2年間にCP残高が存在する企業、および、過去2年間に発行実績はないものの現在発行を検討している企業」を対象とした「発行企業ベース」を本系列として公表しています。
2-5. 2014年3月調査より本系列として公表されている「CPの発行環境判断(発行企業ベース)」は、2010年3月調査より参考系列として公表していたものと連続性はありますか。
2013年12月調査まで参考系列として公表していた「発行企業ベース」を本系列とし、「全企業ベース」を廃止しました。また、「発行企業ベース」の調査対象範囲を、従来の大企業のうち「過去2年間にCP残高が存在する企業」に加えて、「過去2年間に発行実績はないものの現在発行を検討している企業」を含む形に拡大しました。
このため、厳密には集計対象の拡大による段差がありますが、ユーザーの利便性等を考慮し、時系列統計データ検索サイトでは、連続した系列として取り扱っています。
3. 計数項目に関するQ&A
3-1. 母集団推計値とは何ですか。どのようにして算出するのですか。
「短観」の目的は、全国の企業動向を的確に把握し、金融政策の適切な運営に資することですが、仮に全ての企業を対象とした調査(「全数調査」、「悉皆調査」と言います)を行おうとすると、調査対象となる全ての企業に負担をおかけすることになるほか、日本銀行でも調査先の情報管理に莫大なコストがかかり、集計・公表にも時間を要するため、景気の実態を機動的に把握することは困難です。
従って、母集団(「短観」の場合、総務省・経済産業省の実施する「平成24年経済センサス-活動調査」のうち、資本金2千万円以上の民間企業)から、目標精度等に関し一定の基準を設けて、標本(調査対象企業)を抽出し、その抽出率に応じて、調査対象企業からの回答の集計値を膨らませる形で母集団全体の集計値を推計する手法をとっています。こうして算出された値が「母集団推計値」です(標本から得られる情報を用いて母集団の情報を推し量る調査を、一般に「標本調査」、「サンプル調査」と言います)。
母集団推計値の算出例
母集団の200社から50社を抽出して売上高を調査したところ、50社の合計売上高(単純集計値)が150だった場合。
母集団推計値=(150/50)×200=600
(1社当たりの平均売上高)×(母集団企業数)=(200社の売上高の推計値)
「短観」では、計数項目について、業種・規模別の区分(計391の母集団推計層)ごとに母集団推計値を算出し、それらを合計して、全体の母集団推計値を集計しています。
3-2. 調査対象企業から回答が得られなかった場合には、どのように集計していますか(欠測値補完の方法について教えてください)。
2004年3月調査以降、計数項目のうち、年度計画については、調査対象企業から回答が得られなかった場合、当該企業の直近の回答値を個別に代入(欠測値補完)した上で、集計を行っています。
新年度(2015年度)計数を入手できない場合、直近(2014年度)の計数を代入し、集計対象とします。

当年度(2015年度)計数が入手できない場合は、前回調査の集計に使用した当年度の計数を代入します。

2003年12月調査までは、調査対象企業から回答が得られなかった場合、当該企業を除く企業の回答値から母集団推計値を算出していました。このため、結果的には、未回答企業の回答値に、その企業が属する母集団推計層の平均値を代入して集計を行うのと同じ扱いとなっていました。
この場合、未回答となった企業の本来の回答値が、母集団推計層の平均値と乖離していると、母集団推計値が実体から乖離してしまう可能性があります。
このような問題意識から、代替手法について検討を行った結果、年度項目については、当該企業の直近の計数を代入した方が、より的確な集計値を得られる可能性が高いことが判明しました(検証方法については、「『全国企業短期経済観測調査』における欠測値補完の検討」(2001年8月)を参照)。これに基づき、2004年3月調査以降は、「当該企業の直近の計数を代入する」方法に変更しています。
3-3. 調査対象企業から得られた回答が著しく大きな変動をした場合には、どのように集計していますか(外れ値対応の方法について教えてください)。
2010年12月調査以降、「売上高」、「経常利益」、「当期純利益」、「設備投資額」、「ソフトウェア投資額」について、母集団推計値の前年比や修正率に対する影響が著しく大きい回答値が外れ値として検出された場合には、当該回答値は母集団を代表していないため、その影響を取り除く処理(外れ値対応)を行った上で集計しています。
例えば、新年度(2015年度)計数が前年と比べて著しく大きく、外れ値として検出された場合、直近(2014年度)の計数を代入します。

また、当年度(2015年度)計数の修正が著しく大きく、外れ値として検出された場合、前回調査の集計に使用した当年度の計数を代入します。

外れ値対応は統計精度を一段と高める統計作成上の技術的なものであり、通常の場合、外れ値となるデータは発生せず、公表計数の内容、計数の連続性に変更は生じません。
外れ値の取扱いに関する詳細は、「『短観』の解説」や「ビジネスサーベイにおける外れ値対応―全国企業短期経済観測調査(短観)のケース―」(2010年7月)を参照ください。
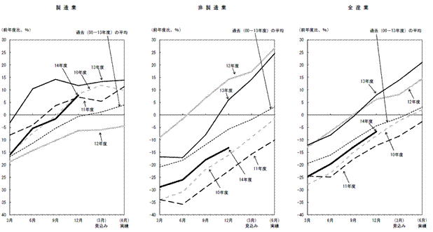
3-4. 「短観」の前年比、修正率をみる際にはどのような留意点がありますか。
「短観」では、ある年度の計数を、前年度の3月調査から翌年度の6月調査まで、計6回調査していますが、翌年度の6月調査をもって、当該年度の実額(母集団推計値)を確定しています。
例えば、下図の通り、2014年6月調査で、2013年度計数(実額)を確定させていますが、これに伴い、2013年度計数の「前年比」が確定するとともに、2014年度計数の「前年比」を算出する際の「分母」も確定します。
従って、例えば、2014年度計数の「前年比」をみる際には、2014年3月調査とその他の調査(2014年6月調査〜2015年6月調査)において、「分母」(2013年度計数)が異なる点にご留意願います。
2013年度、2014年度計数の「前年比」を算出する際の「分子」、「分母」

| (注) | 上記の(1)〜(6)は、当該年度の計数について、何回目の調査であるかを示しています。 |
|---|
また、「修正率」は、以下の通り、「前回調査の母集団推計値」と「今回調査の母集団推計値」を比較して算出しています。
修正率=(今回調査の母集団推計値−前回調査の母集団推計値)÷前回調査の母集団推計値×100
この場合、必ずしも「前回調査の前年比」+「今回調査の修正率」=「今回調査の前年比」の関係が成り立つ訳ではありません。
というのも、上記の通り、3月調査とその他の調査では、「前年比」を算出する際の「分母」が異なるため、例えば、「6月調査において、前年比の伸び率が3月調査よりも高く(低く)なっているのに、修正率をみると、3月調査に比べて下方(上方)修正されている」といった、一見すると整合的でないケースが生じることがあります。
(例(1))製造業・大企業の設備投資額(X年度)
| X年3月調査 | 同6月調査 | ||
|---|---|---|---|
| 前年比(%) | +2.3 | → | +7.7 |
| 修正率(%) | ― | ▲0.5 |
(例(2))製造業・大企業の経常利益(X年度)
| X年3月調査 | 同6月調査 | ||
|---|---|---|---|
| 前年比(%) | +3.6 | → | ▲0.3 |
| 修正率(%) | ― | +1.6 |
(例(1)の計算式)
3月調査の前年比=105,958億円(3月調査のX年度計数)÷103,615億円(3月調査のX−1年度計数)×100−100=2.3%
6月調査の前年比=105,472億円(6月調査のX年度計数)÷97,902億円(6月調査のX−1年度計数)×100−100=7.7%
6月調査の修正率=[105,472億円(6月調査のX年度計数)−105,958億円(3月調査のX年度計数)]÷105,958億円(3月調査のX年度計数)×100=▲0.5%
3-5. 「事業計画の前提となっている想定為替レート」(対米ドル円レート)はどのようにして算出するのですか。
企業からの回答(調査表上の調査項目名は「輸出に際しての為替レート」)をもとに算出しますが、DIのように「1社1票」として、回答値を単純平均するのではなく、各企業の回答値を、当該企業の輸出額(円ベース)を用いて加重平均して算出しています。
具体的には、母集団推計層(3-1.における391層のうち、製造業、卸売業および情報サービス業に該当する層)ごとに、下式の通り想定為替レートを算出し、それらを合計して、全体の想定為替レートを集計しています。
なお、想定為替レートの集計に当たっては、「輸出額」と「輸出に際しての為替レート」の両項目とも回答した企業の回答値のみが、集計に用いられます。

(具体例) 回答企業が以下の3社、母集団企業が30社の母集団推計層の場合
A社:為替レート115円、輸出額 50
B社:為替レート120円、輸出額100
C社:為替レート125円、輸出額150

3-6. 「設備投資額」のデータを利用する上で、注意すべき点はありますか。
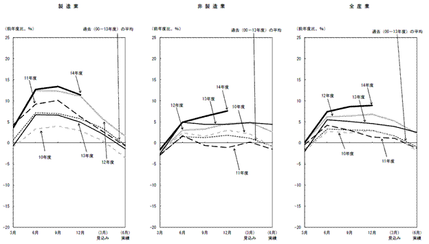
設備投資の年度計画について、調査回ごとの平均的な修正パターンをみると、例えば、大企業の過去の平均では、初回調査(3月調査)から6月調査にかけて、計画未定の案件が確定したり、前年度案件のずれ込み分が上乗せされる等の要因から上方修正され、12月調査以降は、工事の遅れや案件の繰り延べ等から翌年度にずれ込むため、実績調査(翌年6月調査)にかけて下方修正される傾向がみられます。
これに対し、中小企業では、年度計画を事前に策定していない企業が多く、案件が実際に実施されるごとに、設備投資額に計上される傾向があるため、同じく過去の平均では、初回調査(3月調査)から実績調査(翌年6月調査)まで、ほぼ一貫して上方修正されるパターンとなっています。
勿論、上記の修正パターンは、いずれも過去の平均的な姿であり、年によってはこれと大きく異なるケースも存在します。しかしながら、設備投資計画の計数を評価する場合には、こうした修正パターンの「癖」に注意を払いながら、実勢を判断すべきと考えられます。
(1)大企業

(2)中小企業

3-7. 「ソフトウェア投資額」のデータを利用する上で、注意すべき点はありますか。
「短観」の「ソフトウェア投資額」と、GDP統計における「コンピューター・ソフトウェア」とは、ベースが異なりますのでご留意ください。
なお、「ソフトウェア投資額」は、調査先企業に「ソフトウェアに対する投資のうち、無形固定資産に新規に計上した(または計上予定の)金額」を回答して頂いています。これは、わが国において、IT(情報通信技術)関連投資が広がりをみせる中、コンピューター・プログラム等のソフトウェアについても、設備投資に含めて調査した方が、経済の実態をより的確に捉えられる、との判断に基づくものです。
4. 物価見通しに関するQ&A
4-1. 「物価見通し」では、消費税はどのように取り扱われていますか。
調査対象企業に配付する調査表(および記入要領、記入例)に、「消費税など制度の変更の影響を除いてご回答ください」と明記しています。
4-2. 「『企業の物価見通し』の概要」に掲載されている「見通しの平均」とはどのようなものですか。
見通しの平均は、各選択肢の値を選択肢毎の社数構成比でウェイト付けした加重平均値です。
この際、各選択肢の値は、例えば「+15%程度」であれば「+15%」、「+20%程度」であれば「+20%」と仮定して算出。また、選択肢別社数構成比は「分からない」や「イメージを持っていない」を除いています。
5. 統計の正確性に関するQ&A
5-1. 統計調査には誤差がつきものと思われますが、「短観」の誤差にはどのような類のものがありますか。
「短観」を始めとする「標本調査」には、主に「標本誤差」と「非標本誤差」という2種類の誤差が発生し得ます。
例えば、ある母集団から抽出した標本(調査対象企業)が、当該母集団の平均的な企業よりも大きな企業ばかりであったとしたら、そこから得られる売上高や設備投資額等の母集団推計値は、真の値(全数調査を行った場合に得られるであろう集計値)よりも大きくなってしまう(過大推計となってしまう)はずです。このように、標本の歪みによって生じる誤差を「標本誤差」といいます。
また、調査対象企業から回答が得られない場合や、誤った計数が回答された場合なども、そこから得られる母集団推計値は、真の値から乖離してしまう可能性があります。こうした際に生じる誤差を「非標本誤差」といいます(従って、「非標本誤差」は、標本調査だけでなく、全数調査においても発生しうるものです)。
5-2. 標本誤差を低減させるためにどのような措置をとっていますか。
「短観」では、母集団企業を特定するために用いる「経済センサス」の実施に合わせて、調査対象企業の見直しを行います。直近では2015年3月に行いました。
その際には、以下のような目標精度等に関し一定の基準を設け、標本誤差の低減を図っています(金融機関については、別途基準を設けています)。詳細については、「『短観』の標本設計および標本の維持管理等について」(2004年6月)をご覧ください。
| (1) | 製造業・非製造業×大企業・中堅企業・中小企業の6区分について、売上高の母集団推計値の誤差率(母集団推計値が「真の値」から乖離する程度<標本平均の標準誤差/母集団平均>)が、目標の範囲内(製造業3%、非製造業5%)に収まっていること。 |
|---|---|
| (2) | 各業種区分について、売上高の母集団推計値の誤差率が、概ね目標の範囲内(10%程度以内)に収まっていること。 |
| (3) | 母集団推計層ごとの標本抽出率が、概ね目標基準(1%程度以上)を達成していること。 |
| (4) | 資本金および常用雇用者数でみた調査対象企業の分布が、母集団企業の分布から有意に乖離していないこと。 |
調査対象企業の見直しに際しては、上記の基準を達成できるように調査対象企業を抽出しています。その際には、調査対象企業を全て入れ替えるのではなく、既存の調査対象企業(継続標本)に新たな企業を追加するという形をとっています。
なお、こうした調査対象企業の見直しを行っても、倒産や合併等に伴う調査対象企業数の減少により、次回の見直しまでの間に、標本誤差が増大する可能性があります。このため、毎年、定期的に上記の統計学上のチェックを行い、仮に精度が低下している場合には、3月調査時に、新たな調査対象企業を追加しています。
5-3. 非標本誤差を低減させるためにどのような措置をとっていますか。
非標本誤差を低減させる観点からは、調査対象企業にご理解とご協力をお願いし、回収率を高めるよう努めています(2014年12月調査の回収率は99.5%<金融機関除くベース>)。
回答を頂くに当たっては、必ずしも公式な計数に拘らず、概数(例えば、公式な予測計数が固まっていない場合には、その時点での社内の実感あるいは目標等を大まかに計数化したもの)の記入をお願いするなどして、計数の入手に努めています。
さらに、頂いた回答内容については、丹念な確認等を通じて、誤回答の防止にも注力しています。
また、上記の対応にもかかわらず回答を得られなかった場合にも、より的確な集計値が得られるよう、「欠測値補完」を行っています(詳細は3-2.を参照)。
5-4. 企業の合併・分社があった場合、「短観」ではどのような対応をとっているのですか。
「短観」の調査対象企業が合併・分社した際には、原則として、以下のような措置をとっています。
合併のケース
合併前の中核企業(資本金の最も大きい企業)が調査対象企業であった場合のみ、合併後の企業を調査対象企業とする。例えば、調査対象企業同士の合併の場合、および調査対象企業がより資本金の小さい非調査対象企業と合併する場合は、合併後の企業を調査対象企業とする。一方、調査対象企業が資本金の大きい非調査対象企業と合併する場合は、合併後の企業を調査対象企業としない(調査対象であった企業を調査対象から削除する)。
分社のケース
分社後の中核企業(資本金の最も大きい企業)のみを原則、調査対象企業とする。
ただし、「分社後の中核企業と同一の母集団推計層内に別の分社企業が存在する場合」で、「当該企業を取り込んだ方が、売上高または設備投資額の母集団推計値に与える影響度(変動幅)が小さい場合」には、中核企業に加え、中核企業以外の分社企業も調査対象企業として取り込む。
また、「短観」の母集団推計値に一定基準以上の大きな影響を与えるケース(大型の合併・分社等)が発生した場合の対応(例外ルール)として、(1)分配法、(2)分社企業の事後的な取り込み、の2点を導入しています。詳細については、「『短観』の標本設計および標本の維持管理等について」(2004年6月)をご覧ください。
6. 統計の公表に関するQ&A
6-1. 公表までの主な事務の流れを教えてください。
毎調査回とも、公表日(原則、4月初、7月初、10月初、12月央)の1か月程度前に、所定の調査表を調査対象企業(現行約1万社)に郵送またはオンラインで提供し、回答をお願いします。
回答済みの調査表は、適宜、本店(調査統計局)および支店に返信され、本店にて回答データをシステムに入力・格納後、本支店の担当部署では、電話ヒアリング等を通じて、その内容を確認させて頂いています。
また、本店では、各担当部署によって内容を確認した個別企業の回答の精査を行い、最終的な調査結果が集計されます。
なお、機密管理の観点から、最終的な集計結果については、公表当日になるまで、誰一人としてアクセスできないような体制を敷いています(7-2.参照)。
6-2. 「短観」の集計結果については、どのような資料がどのような媒体で入手できますか。
現在、対外公表している集計結果および提供媒体は、以下のとおりです。
集計結果
| (1) | 概要(主要計数を掲載した資料<日本語版、英語版>) |
|---|---|
| (2) | 要旨(「概要」から代表的な計数を抜粋した資料<日本語版、英語版>) |
| (3) | 業種別計数(業種別の主要計数を掲載した資料<和英併記>) |
| (4) | 「企業の物価見通し」の概要(物価見通しのうち主要な集計区分を掲載した資料<日本語版、英語版>) |
| (5) | 調査全容(詳細な計数を掲載した資料<和英併記>) |
| (6) | 長期時系列データ(詳細な時系列データを掲載した資料<日本語版、英語版>) |
提供媒体
インターネット・ホームページ((1)〜(6)を提供)
日本銀行本店情報ルーム(8:50〜17:00)((1)〜(4)を提供)
なお、(5)については、統計書の形でも入手できます(有償)。詳しくは刊行物・パンフレット一覧をご覧ください。
6-3. 過去の公表データを遡って知りたいのですが、長期時系列データはありますか。
日本銀行は、「時系列統計データ検索サイト」を運営しています。短観の時系列データは、同サイトに掲載していますのでご利用ください。
同サイトは日本銀行のホームページ左下のトピックス欄からもご利用頂けます。
6-4. 集計値以外の関連情報では、どのようなものが公表されているのですか。
「短観」については、ユーザーの利便性や透明性を高める観点から、集計結果だけでなく、以下のような関連情報も公表しています。いずれもインターネット・ホームページ上に掲載しています((1)、(2)、(3)、および(5)の一部については、英語版もホームページ上に掲載しています)。
| (1) | 「短観」の解説(一般的な解説資料) |
|---|---|
| (2) | 「短観」の標本設計および標本の維持管理について(「短観」の標本設計を詳細に解説したペーパー) |
| (3) | 「短観」の調査表(実際に調査対象企業に送付している調査表) |
| (4) | 記入要領・記入例(調査表に同封する企業向けの記入上の留意事項) |
| (5) | 「短観」の見直し等に関する公表資料 |
6-5. 「短観」の公表日時は事前に決まっているのですか。
透明性を高める観点から、「短観」の公表日程を事前に公表するとともに、公表時刻も統一しています。
具体的には、日本銀行作成の他の主要統計と合せて、6、12月末頃に、それぞれ先行き12か月間の公表日程をインターネット・ホームページに公表しています。また、公表時刻については、午前8時50分に統一しています。
6-6. 「短観」の公表時刻は何故午前8時50分なのですか。
「短観」の公表結果は、まずは日本の金融資本市場で消化されることが望ましいとの考え方から、これらの市場が開く(または取引が活発化する)午前9時の直前の8時50分に統一しています。
6-7. 「短観」の公表資料には集計結果が掲載されるのみで、計数の解説等がないのは何故ですか。
統計の公表に際しては、中立的な姿勢で臨むことが重要であると考えており、集計結果について、解釈や政策判断を加えないこととしています。また、集計後直ちに公表することが重要であると考えており、解釈や判断を加えるとなれば、その分公表が遅れることになりかねません。このため、外部から問い合せを受けた場合でも、統計自体に関する質問(計数の伸び率はいつ以来か、特殊要因によるイレギュラーな動きはないか等)についてのみ回答するようにしています。
こうした方針については、「不親切ではないか」との印象を持たれるかもしれませんが、集計結果については、様々な解釈があり得ることから、「個々の統計の解釈については、まずはマーケットやエコノミスト等に委ねるべき」との考え方に基づくものです。
私どもとしては、このFAQを始めとして、「短観」に関する解説情報等を今後とも積極的に提供し、「短観」の集計結果を適切にご利用頂けるよう努めて参ります。
なお、「短観」を始めとして、新たに公表された統計の日本銀行としての解釈や、それらを踏まえた金融経済情勢に関する判断については、政策委員会・金融政策決定会合での議論を踏まえて公表している金融経済月報や、総裁記者会見要旨等を適宜ご覧ください。
6-8. 早期公表を実現させるためにどのような措置をとっていますか。
「短観」については、(1)公表資料の見直し、(2)集計結果の役員等への事前報告取り止めといった合理化措置を通じて、1996年8月調査(現在の9月調査)以降、公表時期を1週間程度早めています(調査表の発送から集計結果の公表までは、約1か月となっています)。
また、1999年3月調査以降、事務合理化等により、「調査全容」(冊子版)の公表を2週間程度早期化したほか、2000年12月調査以降、「調査全容」(電子版)や「長期時系列データ」の公表時期を1営業日早めています。
6-9. 公表値に誤りが発見された場合には、どのような措置をとっていますか。
公表済みのデータに訂正が必要な場合には、原則として、速やかに訂正データを作成・公表しています。ただし、調査対象企業が公表後に回答値を修正した等の場合には、データの訂正を行わないことがあります。
6-10. 「短観」に関する照会はどこにすればよいですか。
「短観」に関するお問い合わせは、下記のいずれかにお願いします。
| (1) | 情報サービス局統計照会窓口(Tel : 03-3279-1111) |
|---|---|
| (2) | 調査統計局経済統計課企業統計グループ(同上、内線4023) |
また、本FAQに対するご意見や、他に取り上げて欲しい事項等については、電子メールで「post.rsd5@boj.or.jp」までお願いします。
7. その他のQ&A
7-1. 日本銀行の金融政策決定の過程で、「短観」はどのように使われているのですか。
日本銀行の金融政策は、政策委員会・金融政策決定会合で議論・決定されます。その際には、様々な金融経済データや情報をもとに幅広い観点から議論が行われます。「短観」は、その際の重要な判断材料の一つとして利用されています。換言すれば、「短観」は判断材料の一つですが、「短観」のみに基づいて金融政策が決定される訳ではありません。
7-2. 「短観」は世間の注目度が高い統計ですが、どのような機密管理体制を敷いているのですか。
「短観」については、公表前の集計結果や個別企業の計数(個票データ)等について、機密管理に関する内部ルールを定め、厳格な機密管理を行っています。
具体的には、「短観」の調査期間中は、作業エリアを物理的に隔離するとともに、作業エリアへの部外者の立ち入りを制限しています。また、「短観」の作成担当者を限定したうえで、機密情報については、施錠保管(紙ベース)、パスワード管理(電子ベース)等により厳格に取り扱っています。
また、「短観」の集計結果は、公表当日までは誰一人としてアクセスできない体制となっており、公表当日も、公表時刻(午前8時50分)前に公表資料を取り扱える者を事前に限定しています。
7-3. 「短観」の調査対象企業になりたいのですが(日銀に申し込めばなれるのですか)。
5-2.にある通り、「短観」では、定期的に調査対象企業を見直しているほか、毎年、統計精度をチェックし、必要に応じて、調査対象企業を追加しています。ただし、いずれの場合も、「経済センサス」でリストアップされた企業を母集団として、その中から、無作為抽出により調査対象企業を選定しているため、私どもにお申し込み頂いたとしても、直ちに調査対象企業になって頂ける訳ではありません。
7-4. 調査対象企業が「短観」の調査表を日銀に回答するに当たり、日本銀行の側で回収基準日(締切日)を設定しているのですか。
設定しています。
「短観」の回答期間(調査表の送付日から公表日までの間)は通常約1か月間ですが、「短観」の調査表に回答し、日本銀行に送付して頂く期限(回収基準日=締切日)は調査表を受け取った企業が記入に要する期間と、日本銀行において調査表の内容確認等に要する期間を勘案して設定しており、送付日の2週間程度後になるのが通例です。
回収基準日は調査回毎に決め、調査対象企業にはその日を目途に回答するようお願いしているため、調査表の回収は回収基準日を挟んだ前後数日間に集中する傾向があります。
なお、調査表の回収は、公表日の前営業日まで行っています。
