広義流動性のコンポーネントの公表等
2000年 6月 6日
日本銀行調査統計局
マネーサプライ統計の1つの指標である広義流動性については、従来、合計値(残高および伸び率<前年比、季節調整済前月比等>)のみを公表していましたが、ユーザーの利便性向上のため、本年5月計数(6月12日<月>公表予定)より、コンポーネント10系列(残高および前年比伸び率)も公表することとしましたので、お知らせします(新たな公表書式は、別紙1参照)。なお、参考計数として、「年金信託」と「外債(ドル換算ベース)」も、公表しますので、併せてご利用下さい。
| ─── | 広義流動性のコンポーネントは、M2+CDのほか、郵便貯金、その他金融機関預貯金、金銭信託、金銭信託以外の金銭の信託、投資信託、金融債、金融機関発行CP、債券現先・現金担保付債券貸借、国債・FB、外債の10系列ですが、今回の見直しにおいて採用コンポーネントは変更していません。 |
また、最近の金融環境・制度等の変化を的確に反映するように、国債・FB、債券現先・現金担保付債券貸借、外債等のコンポーネントを中心に推計方法等を一部見直しました。この結果、広義流動性の残高は96年1月に遡って、また前年比伸び率も97年1月に遡って訂正されますので、ご利用の際にはご注意下さい。このほか、広義流動性の各コンポーネントについても、同期間の遡及計数を作成・公表しました(遡及計数については、別紙2参照)。
| ─── | また、広義流動性の推計方法等の見直しに伴い、季節調整済計数も訂正されます(季節調整替えの詳細については、別紙3参照)。 |
なお、広義流動性のうち、M2+CD以外のコンポーネントについては、さまざまな1次資料(金融関連統計など)を利用して作成していますが、1次資料の制約(1次資料が存在しない等)から、推計に頼らざるを得ない部分がかなりあります。
私どもでは、こうした統計分析・利用上の留意点をユーザーの方々に十分に理解して頂くことを念頭に、マネーサプライ統計の作成方法(推計方法を含む)に関する解説資料を次回のマネーサプライ(速報)の公表(6月12日予定)と同時に公表する予定で、現在、準備を進めています。
[本件に関する照会先:調査統計局 経済統計課 金融統計グループ 03-3277-2116]
以 上
(別紙1)
2000年 6月12日
日本銀行調査統計局
書式見本
マネーサプライ速報(2000年5月)
(特に断りのない限り平残前年比伸び率、単位・%)
(注) pは速報。 Bはブレイク(B印までの計数と翌期<月>以降の計数は不連続、詳細は金融経済統計月報ご参照)。
広義流動性のコンポーネント
(平残前年比伸び率、単位・%)
(注1) 郵政省公表の郵便貯金残高(末残)を基に、前月末残と当月末残の平均として平残計数を算出。
(注2) 信用組合、全信組連、労働金庫、労金連、農協、信農連、漁協、信漁連の預貯金合計。
(注3) 国債・FBには、TBを含む。
(注4) 非居住者発行債。「ドル換算ベース」は、インターバンク相場(東京市場、米ドル)のスポットレート中心値月中平均を用いて換算。
(別紙2)
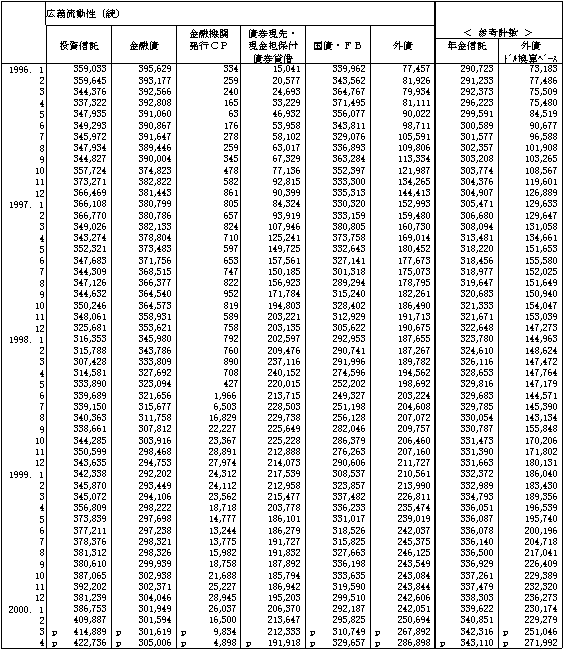
広義流動性および同コンポーネントの遡及計数
平残前年比
(単位・%)
(注) Pは速報(今後、改定される可能性がある)。
Bはブレイク(B印までの計数は在日外銀・外銀信託等を含まず)。
平均残高
(単位・億円、外債・ドル換算ベースのみ100万ドル)
(注) Pは速報(今後、改定される可能性がある)。
Bはブレイク(B印までの計数は在日外銀・外銀信託等を含まず)。
(別紙3)
広義流動性の季節調整替えについて
| ○ | 広義流動性の推計方法等の見直しに伴い、広義流動性の季節調整替えを実施しましたのでお知らせします。新ベースの広義流動性に関する季節調整方法の概要は、以下のとおりです。 |
| 1) | 米国センサス局X-12-ARIMA(ベータバージョン)を使用。 |
| 2) | 各系列とも対数変換を実施。事前調整における異常値、レベルシフト、ランプの判定基準は3.3σ超。季節調整に用いたデータは、各データ系列の始期から99年12月までとし、その後の1年間は季節要素の予測値を用いて季節調整値を作成。 |
指標名
季節ARIMAモデル
曜日調整
データ始期
広義流動性
(111) (110)12
なし
1980年1月
| (注) | 1. | 今回の見直し作業の結果、季節ARIMAモデルを変更[(111)(011)12→(111)(110))12]。 |
| 2. | 98年4月の統計見直し(対象金融機関の拡充)により、広義流動性には、(a)内訳コンポーネントであるM2+CD等に在日外銀等を含むベース(98年4月以降公表開始)と(b)同含まないベース(99年3月まで公表、それ以降は作成取り止め)の2系列が存在する。このため、季節調整値の算出に際しても2系列それぞれに関して計算しているが、結果的に季節ARIMAモデルは同一のものとなっている。なお、算出に利用したデータは、以下のとおりである。 |
((a)のデータ)
| 80年1月から99年12月までのデータを用いて算出。ただし、98年4月以降は、今回、公表した遡及計数(M2+CD等に在日外銀等を含むベース)を用いている。なお、レベルシフトなし。 |
((b)のデータ)
| 80年1月から99年3月までのデータを用いて算出。ただし、96年1月以降99年3月までは、今回、公表した遡及計数(M2+CD等に在日外銀等を含まないベース)を用いている。なお、96年1月にレベルシフトあり。 |
[本件に関する照会先:調査統計局経済統計課金融統計グループ 03-3277-2116]
以 上
